
Which lung diseases can spirometry help diagnose?
All respiratory diseases affect the lungs’ ability to function effectively, and as a result affect lung function (spirometry) measurements. Spirometry is used to assist in diagnosing asthma, Chronic Obstructive Pulmonary Disease (COPD) and other conditions that affect breathing.
Spirometry may also be used periodically to monitor lung condition and check whether treatment for a chronic lung condition is helping the patient to breathe. To breathe, or to respire, consists of three key components:
- Ventilation – the lungs inflation and deflation with air
- Pulmonary circulation – the functioning of the blood vessels that supply and drain the lungs
- Gas exchange – the uptake of oxygen and elimination of waste products
The most commonly reported symptoms of all lung diseases are shortness of breath and coughing. It is therefore vital that medical practitioners utilise alternative investigative tools to ensure accurate diagnosis.
The component, or components of effective lung function that are affected by disease will impact spirometry recordings in different ways. These can be categorised into restrictive or obstructive lung disease, though individuals can suffer a combination.
Restrictive lung diseases
Restrictive lung diseases affect the lung’s ventilation through a reduction in lung volume, likely due to diseased tissue, weak muscles, neuromuscular disorders or damaged nerves. Conditions that may lead to restrictive spirometry include interstitial lung diseases (e.g., idiopathic pulmonary fibrosis), scoliosis, obesity, neuromuscular disorders, and chest trauma.
- Interstitial Lung Disease (ILD): Spirometry can help identify restrictive patterns by measuring reduced FVC and FEV1 with a normal or increased FEV1/FVC ratio
- Pulmonary Fibrosis: It is useful for tracking the progression of fibrotic lung diseases by monitoring declines in lung volumes.
Obstructive lung diseases
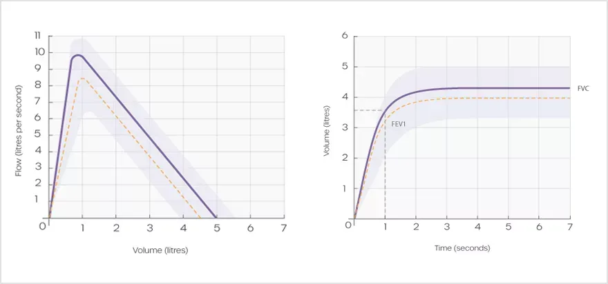
Obstructive lung diseases affect the lung’s ability to exchange gases due to reduced air flow, possibly from airway narrowing. Obstructive lung disease can result in a decrease in both FEV1 and FEV1/FVC ratio, whereas restrictive will have a normal FEV1/FVC ratio, but a reduced FVC and FEV1.
-
Chronic Obstructive Pulmonary Disease (COPD): Spirometry can help diagnose and classify the severity of COPD by measuring the forced expiratory volume in one second (FEV1) and the ratio of FEV1 to forced vital capacity (FVC)
-
Asthma: It can aid in diagnosing asthma by assessing the reversibility of airflow obstruction after bronchodilator administration and by measuring peak expiratory flow rates
-
Bronchiectasis: Spirometry can be used to evaluate the extent of airway obstruction and monitor disease progression.
Other lung conditions
-
Lung Function Assessment: Spirometry is used to assess overall lung function and can be helpful in evaluating the effects of smoking, occupational exposures, or other factors on lung health
-
Preoperative Assessment: It may be used before surgery to assess a patient’s lung function and risk for postoperative complications.
-
Lung Transplant Evaluation: Spirometry is part of the evaluation process for potential lung transplant recipients to assess their lung function.
-
Screening for Lung Disease: In some cases, spirometry is used as a screening tool to identify individuals at risk for lung diseases, such as in occupational health assessments.
Restrictive vs obstructive spirometry
These two categories of lung disease result in common patterns found when conducting lung function testing. Both patterns are essential in diagnosing and managing various respiratory conditions, and will help guide treatment decisions and assess the severity of lung disease. The spirometry volume/time curve and flow loops differ between the disease groups, aiding diagnosis when interpreted by a specialist.
In summary, when diagnosing obstructive lung diseases such as asthma, bronchitis, and COPD, or restrictive lung diseases such as ARDS, pneumoconiosis, or fibrosis, lung function testing is an invaluable screening tool. It’s important to also note that while spirometry is vital, it is often used in conjunction with other tests, clinical evaluation, and medical history to make a comprehensive diagnosis and treatment plan for lung diseases.
Industry-leading spirometers
Amplivox is proud to offer a suite of industry-leading PC-based spirometry solutions to meet the requirements of occupational and respiratory health professionals. With the inclusion of class-leading spirometry PC database applications, users can benefit from comprehensive data analysis, trending, and transfer capabilities.
For more information on our spirometry products please visit our spirometers webpage, contact our customer support team on +44 (0)1865 880 846 or email.



